Matek-segéd 11E
2016. november 10., csütörtök
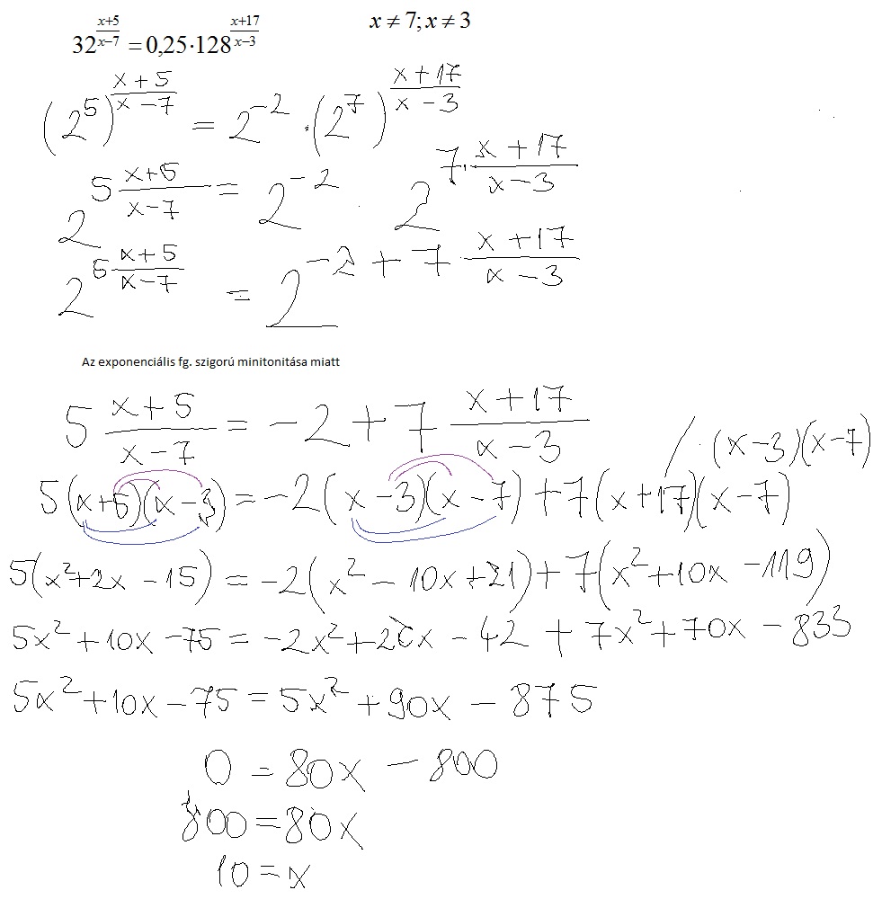
11.10 - exponenciális egyenletek (ism)
Nincsenek megjegyzések:
Megjegyzés küldése
Újabb bejegyzés
Régebbi bejegyzés
Főoldal
Feliratkozás:
Megjegyzések küldése (Atom)
Nincsenek megjegyzések:
Megjegyzés küldése